
SIBOASI S8025A Badminton Machine
Free Australia Wide Shipping
30 Day Returns
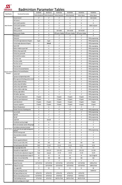
Introducing the SIBOASI B8025A Badminton Machine with 2 Year Warranty
Elevate Your Game
Are you ready to take your badminton skills to new heights? Look no further than the SIBOASI B8025A Badminton Training Machine, the ultimate tool designed to transform your training sessions and propel you towards excellence on the court.
Unleash Your Potential: The B8025A is not just a machine – it's your dedicated training partner, crafted with precision to cater to all aspects of your badminton game. Whether you're honing your precision shots or mastering the perfect smash, this machine is your ally in reaching your full potential.
Cutting-Edge Technology: Experience the future of training with advanced technology at your fingertips. Equipped with state-of-the-art photoelectric sensors, the B8025A guarantees unmatched stability and precision in every shot. Say goodbye to inconsistent training sessions and welcome a training regimen that mirrors actual game scenarios with unparalleled accuracy.
Tailored for Success: With the B8025A, you're in complete control of your training journey. Its remote control capabilities enable you to effortlessly adjust speed, frequency, and shooting angle, ensuring that each session aligns with your evolving skill level. Plus, the dynamic shooting angle, adjustable up to an impressive 7 meters, pushes your boundaries and expands your skill set.
Diverse Training Options: Versatility is the cornerstone of the B8025A. Offering a variety of cross-line ball settings and different horizontal ball options, it lets you replicate various in-game situations. The added smash function injects intensity into your training routine, preparing you for the high-impact moments you'll encounter on the court.
Built to Endure: Durability and longevity are non-negotiable. The B8025A is built from high-quality materials, ensuring it withstands the rigors of intense training and constant use. Whether you're a dedicated professional or an aspiring enthusiast, this machine is designed to be your steadfast companion for years to come.
Smart Design, Effortless Setup: Combining portability with functionality, the B8025A boasts a sleek body structure complemented by a convenient portable handle. Setting up is a breeze with the folding tripod, complete with wheels and brakes, providing the ultimate setup convenience, leaving you more time to focus on your game.
Experience Luxury: Training in style is now a reality with the B8025A's contemporary and elegant design. Not only is it a high-performance training tool, but it also exudes an air of sophistication, making a statement both on and off the court.
Uninterrupted Training: With a substantial capacity of 360 shuttlecocks (with both cages), you can experience seamless training sessions without constant interruptions. Immerse yourself in continuous improvement as you dedicate your time to mastering your skills.
Elevate your badminton game and make your mark with the SIBOASI B8025A Badminton Training Machine. Precision, versatility, and durability harmonize to shape your journey from an enthusiast to a champion. Transform your training – explore the future of badminton excellence today!