
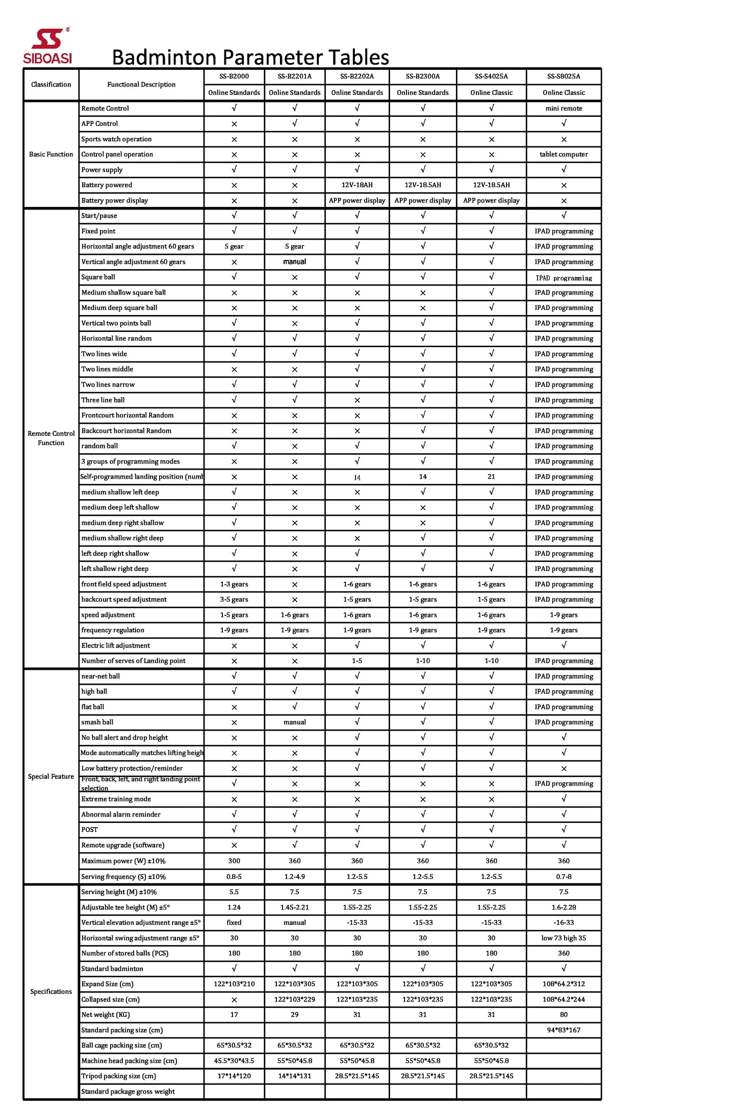
SIBOASI S4025A Badminton Machine
Free Australia Wide Shipping
30 Day Returns

Introducing the SIBOASI S4025A Badminton Machine with 2 Year Warranty
Current Stock Level : SOLD OUT in MELBOURNE Warehouse, available via International Shipping at Checkout
Australian Stock Due: Late October, email chris@siboasi.com.au to secure
2 of the these have already been pre sold. 5 Remaining!!!
Elevate Your Training Regimen
Unleash your badminton potential with the cutting-edge SIBOASI S4025A Badminton Training Machine. Engineered for excellence, this advanced training companion is set to revolutionise the way you approach your practice sessions.
Precision Redefined: The S4025A is not just a machine – it's a game-changer. Whether you're striving for pinpoint accuracy or perfecting your powerful smashes, this training partner is your dedicated pathway to honing your skills and achieving mastery on the court.
Innovative Technology: Experience the future of training with advanced technology at your fingertips. Powered by state-of-the-art photoelectric sensors, the S4025A ensures remarkable stability and precision in every shot. Bid farewell to inconsistency and embrace a training routine that emulates real-game scenarios with unparalleled accuracy.
Customise Your Training: Take command of your training journey like never before. The S4025A puts you in control with its Remote and Mobile App capabilities, allowing you to effortlessly adjust speed, frequency, and shooting angles. With its dynamic shooting angle adjustable up to an impressive 7 meters, you'll push your limits and expand your repertoire of skills.
Versatility Unleashed: The S4025A's versatility knows no bounds. Offering a range of cross-line ball settings and diverse horizontal ball options, it lets you simulate various in-game situations, ensuring you're prepared for any challenge that comes your way. The integrated smash function adds intensity to your training, preparing you for those game-changing moments.
Built to Endure: Exceptional durability and longevity are integral to the S4025A's design. Crafted from top-tier materials, this machine is built to withstand rigorous training and constant use. Whether you're a committed professional or an aspiring enthusiast, the S4025A is your steadfast companion for years of progress.
Sleek Design, Effortless Setup: Functionality meets style with the S4025A's sleek body structure and convenient portable handle. Setting up is a breeze, thanks to the folding tripod with wheels and brakes, ensuring hassle-free installation and allowing you to focus solely on your game.
Elevate Your Aesthetic: Training in style is now within reach. The S4025A's contemporary design isn't just about performance – it's about making a statement. A true blend of sophistication and innovation, it shines both on and off the court.
Uninterrupted Training: Bid farewell to interruptions. With a capacity to hold up to 180 shuttlecocks, your training sessions can flow seamlessly. Immerse yourself in continuous improvement as you dedicate your time to refining your skills.
Elevate your badminton game with the SIBOASI S4025A Badminton Training Machine. Precision, versatility, and endurance unite to guide your journey from enthusiast to champion. Embrace the future of badminton excellence today!
Product Features: